'어떤 언어로 해석한', '원래 어떤 언어로 해석되던', '어떤 언어권상의 점' (참고1) 이라는 표현은, 우리의 생각을 굉장히 단순히 추상화시키고 빠르게 더 고수준의 내용을 이해하도록 도움을 준다 (참고3). 이해도를 확인하기 위해 문제를 하나 풀어보자.
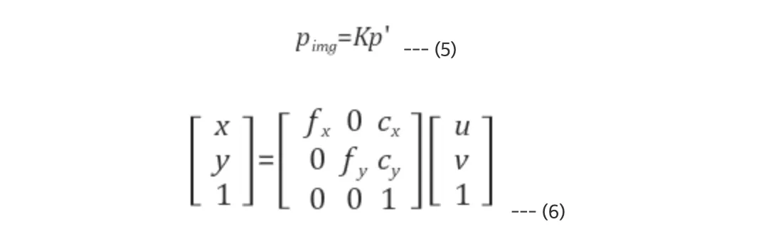
수식 (참고4)
다음 중 옳은 진술은 무엇일까?
1.
K 는 픽셀 좌표계 위의 점에 곱해져서, 픽셀 좌표계상의 좌표가 정규 이미지 좌표계의 좌표계에서 어떻게 해석되는지 표현해내기 위해 사용하는 행렬이다.
2.
K 는 정규 이미지 좌표계 위의 점에 곱해져서, 정규 이미지 좌표계 위의 점이 픽셀 이미지 좌표계의 좌표에서 어떻게 해석되는지 표현해내기 위해 사용하는 행렬이다.
정답은 2번이다. 카메라 내부 행렬 K 는, 정규이미지 좌표 p’ 에 곱해진다(참고4).
정규이미지좌표계의 단위벡터가 픽셀좌표계의 단위벡터보다 훨씬 더 길다. (그림에는 가 빠져 있다.)
행렬이라는 것이 표현하고자 하는 것은 결국 좌표계의 변환이다. 하지만 이것을 사람이 해석할 때에는 번역의 관점에서 접근하는 것이 편하다는 부분이 맹점이다. (그림에는 가 빠져 있다.)
to
1.
참고


