그림 (참고3)
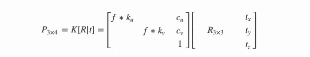
보통 우리는 초점거리를 라고 표현한다. 는 핀홀 카메라 모델에서 이미지센서와 초점 사이의 거리이다. 이 단위는 픽셀이다. 하지만 이미지센서의 픽셀은 가로길이와 세로길이가 동일하지 않을 수 있다. 그래서, 픽셀 가로 길이의 배, 픽셀 세로 길이의 배로 나누어서 표현해야 하는 상황이 생긴다(참고1).
하지만 이 표현은 직관적으로 잘 와닿지 않는다. 인간은 거리 단위로 cm, mm 따위의 것들을 생각한다. 그래서, 초점과 이미지센서 사이의 거리가 단일한 값이었으면 좋겠다는 욕심이 있다. 아니 그냥 마음 편하게 거리가 라고 하면 되지 뭐의 몇 배 뭐의 몇 배 하는게 너무 헷갈리지 않는가! 인간의 직관상 카메라의 초점거리는 단일 값이다.
그림 (참고2)
이런 마음을 알았는지 일부 자료들은 카메라 내부 파라미터를 다른 방식으로 표현하곤 한다. 초점거리 의 단위를 어떤 임의의 단위라고 생각하고, 로 놓는 방법이다(참고2). 를 픽셀 단위로 보아도 되고, 그렇지 않아도 되어서 훨씬 마음이 편안해진다. 게다가 이미지 센서의 픽셀 길이가 정방형이 아니라는 것을 명시적으로 표현해줄 수 있다는 장점도 있다.
parse me : 언젠가 이 글에 쓰이면 좋을 것 같은 재료들.
1.
None
from : 과거의 어떤 생각이 이 생각을 만들었는가?
1.
None
supplementary : 어떤 새로운 생각이 이 문서에 작성된 생각을 뒷받침하는가?
1.
None
opposite : 어떤 새로운 생각이 이 문서에 작성된 생각과 대조되는가?
1.
None
to : 이 문서에 작성된 생각이 어떤 생각으로 발전되고 이어지는가?
참고 : 레퍼런스

