전체 ray 중에 파티클이 존재하는 부분은 실제로 극히 일부분에 불과하고, 논문에서도 이 부분을 지적한다 (참고1). 그래서 제안한 방법은, 층화표집(
Stratified Sampling) 을 하는 동시에 계층볼륨샘플링(
Hierarchical (Volume) Sampling)을 진행해서 샘플을 얻어내는 방법이다. 논문에서는 층화표집으로 얻은 개의 샘플들은 ‘sparse(coarse) sample’ 이고, 계층 볼륨 샘플링으로 얻은 개의 샘플들은 ‘fine sample’ 에 해당한다고 말한다.
계층볼륨샘플링이란 ray 에 파티클이 ‘있을 것 같은 곳’ 을 집중적으로 샘플링하는 방법이다. 연속함수를 모방하기 위해 층화표집을 한 뒤(from1) delta 를 구해서 구적법을 통해 색상이라는 것을 정의했듯(참고4), 계층볼륨샘플링에서도 어떤 적분 구간을 균질하지 않게 나누어서 이산화시킨다는 컨셉이 유지된다(참고3).
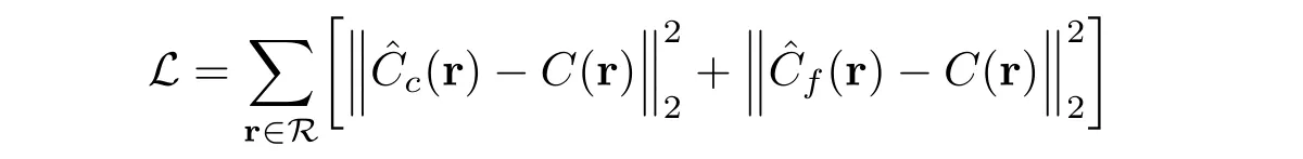
NeRF의 최종 loss 식을 살펴보자.
수식(참고5): (Coarse L2 거리) 제곱과 (Fine L2 거리) 제곱을 더해 최종 손실을 정의한다.
from
to
1.
참고
2.
None
